Skip to main content
Back

Jesse Schelfhout

Jesse Schelfhout

Affiliation

University of Oxford

Supervisors

  • Christopher Foot (University of Oxford)
  • John Ellis (King's College London)

Short bio

I completed a BPhil (Hons) with First Class Honours in Physics and a second major in Mathematics and Statistics and an MPhys with Distinction specialising in Experimental Physics at the University of Western Australia, where I worked in the Yb atomic clock group. I was awarded a Rhodes Scholarship to study at the University of Oxford and am currently working towards a DPhil in Atomic and Laser Physics in the AION/MAGIS group under the supervision of Prof Chris Foot. My research interests at the interface of theory and experiment have taken me from working with a cosmic ray detector prototype, to modelling atomic structure using supercomputers, to developing tests of fundamental physics using atom interferometry. I have had the pleasure of meeting experimentalists and theorists from the field and look forward to developing my skills and strengthening ties across both domains.

Clock atom interferometry for fundamental physics

Atom interferometers and atomic clocks are among the highest precision measurement devices ever constructed and can address major open questions about the nature of gravity, quantum mechanics, and fundamental constants. “Clock atom interferometry”, using optical clock transitions for atom interferometry, offers the prospect for gravitational wave detection in the frequency band that fills the gap between terrestrial (LIGO/Virgo/KAGRA) and prospective space-based (LISA) laser interferometers. Important signals expected in this band include the inspiral phase of stellar-mass black holes prior to the final burst that occurs on merger which lies in the LIGO/Virgo/KAGRA frequency band, as well as the mergers of intermediate-mass black holes. In addition, these instruments will be sensitive to particular models of ultralight dark matter as well as pushing the limits of tests of quantum mechanics.

Jesse Schelfhout's project image Jesse Schelfhout's project image
AION sensitivity curves for gravitational waves (left) and ultralight dark matter (right). Credit: Badurina et al. (2022).

The Atom Interferometer Observatory & Network (AION) and Matter-wave Atomic Gradiometer Interferometric Sensor (MAGIS) collaborations are working towards large-scale clock atom interferometers and sit within the context of a global Terrestrial Very-Long-Baseline Atom Interferometry (TVLBAI) community. The AION collaboration plans to construct a 10m atom interferometer in Oxford to develop the technology required for clock atom interferometry. We recently proposed to use such an instrument to conduct recoil measurement experiments with Sr or Yb atoms to complement existing experiments with Rb or Cs atoms. These experiments provide the highest precision measurements of the mass of an atom (in kilograms) that are then used to determine the fine-structure constant and facilitate the highest-precision test the Standard Model of Particle Physics (via the magnetic moment of the electron).

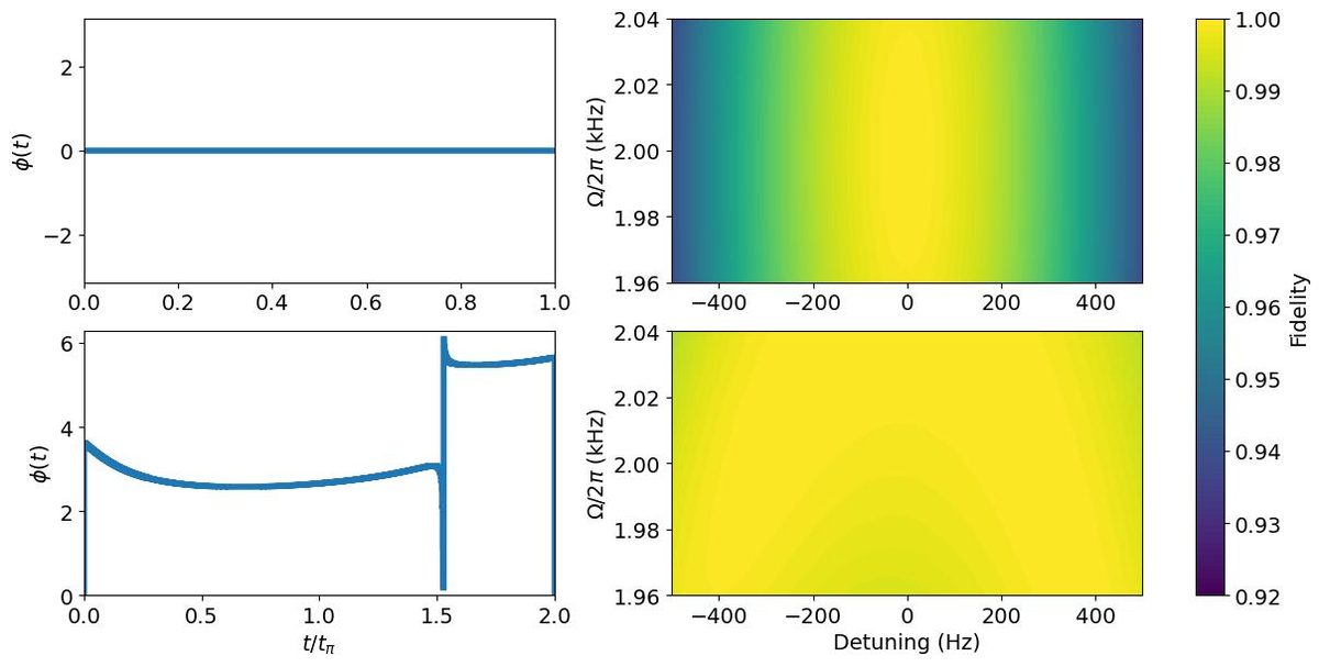
The AION collaboration has recently demonstrated the first clock atom interferometry with 87Sr. As part of this fellowship, I will work on improving this experiment by designing laser pulses tailored to reduce imperfections in the atom interferometry sequence. The quantum optimal control theory of such pulse shaping is widely used in NMR experiments and the proposed implementation for clock atom interferometry draws on techniques that have only recently reached a sufficiently high degree of maturity, propelled by work in atomic clocks and ion trap quantum computing experiments.

Jesse Schelfhout's project image 1
Phase profiles (left) and corresponding transition fidelity maps (right) for a standard π-pulse (top) and a shaped pulse designed using quantum optimal control (bottom).

The unique opportunity for theory-experiment cross-training afforded by this fellowship will allow me to spend time working in a theoretical particle physics and cosmology group. This will provide rigorous theoretical grounding in sensitivity modelling and data interpretation, while my experimental insights will inform new theoretical studies in probes of new physics using cold atoms.